- within Intellectual Property topic(s)
- with Senior Company Executives, HR and Finance and Tax Executives
- in Australia
- with readers working within the Aerospace & Defence, Healthcare and Technology industries
- within Intellectual Property topic(s)
- with Senior Company Executives, HR and Finance and Tax Executives
- in Australia
- with readers working within the Aerospace & Defence, Technology and Pharmaceuticals & BioTech industries
A recent decision issued by the Federal Circuit Court of Appeals serves as a reminder to inventors to describe specific examples of their inventions in patent applications, not just broad descriptions of expansive categories that could theoretically cover the full invention's scope but without guidance to embodiments they would like to protect. In Duke University v. Sandoz Inc. (Case 24-107, decided Nov. 18, 2025), the court reversed a jury verdict that had resulted in a $39 million dollar award to the plaintiff for infringement of its patent for a method of treating hair loss, holding that the patent lacked "blaze marks" to direct someone through the potentially billions of chemical compounds it described in the patent's specification to arrive at the several thousand covered by the patent claims. Patent applicants should be mindful of decisions like this when trying to craft an application with support for claims broad enough to capture the full scope of their invention on the one hand but, on the other hand, not solely with such broad brush strokes as to obscure the pointillism needed to support particularized coverage of more limited examples within the broad scope.
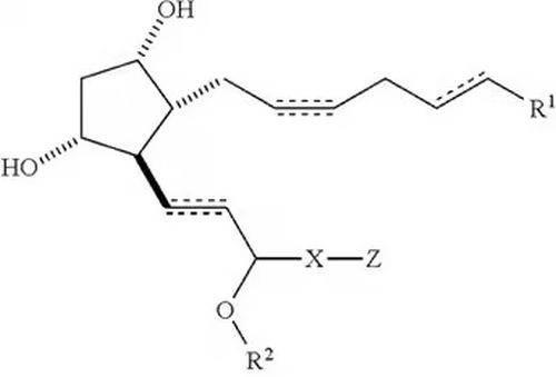
The patent claimed a method for treating hair loss by applying an analog of a prostaglandin molecule, having the following structure:

with examples claimed for the R1, R2, X, and Z substituents. The parties agreed that the claim encompassed a genus of several thousand different compounds. However, the court found that the application disclosed billions of possible compounds. And, despite some guidance at choice points along the trail from starting with the generic prostaglandin backbone to getting to the genus of claimed analogs, the guidance did not sufficiently instruct someone how to get there.
For example, the claim recited that R1 is an amide (C(O)NHR3, wherein R3 is methyl, ethyl, or isopropyl). But the specification described 13 options for R1, only one of which was the claimed amide. Many of the 12 other options given for R1 were themselves large categories. And even then, the application described 12 different "categories" of options for R3 (court's emphasis), after the initial choice of an amide was made for R1. The court, quoting previous decisions, stated that "one cannot disclose a forest in the original application, and then later pick a tree out of the forest and say 'here is my invention.'" In fact, the court noted, to the degree that there was any guidance as to which option to take when deciding what substituent to include at R1, the application described options other than the claimed amide as preferred, if anything directing away from the ultimately claimed structure.
This case is a reminder not to lose the trees for the forest when trying to get a patent with sufficiently expansive scope as to edge out would-be design-arounds. Because at the same time, it is also important to fortify specific categories and examples within the intended generic scope, at the risk of a patent being held invalid, allowing others to design right through the claimed scope without even having to go around.
The content of this article is intended to provide a general guide to the subject matter. Specialist advice should be sought about your specific circumstances.