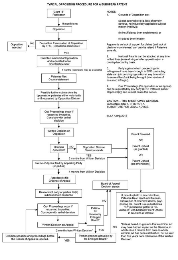
European Patent Office (EPO) opposition procedure comprises two parts: opposition division (first instance), and, if relevant, appeal. A typical procedure is set out on the attached flow chart. It is also possible to petition the Enlarged Board of Appeal for review of the appeal decision under certain very limited circumstances. There are some fixed time limits in the overall procedure, such as the deadline for filing an opposition and an appeal. However, there is also some flexibility in the procedure. The EPO aims to issue first instance decisions on "straightforward" oppositions within 15 months. Typical appeal proceedings take at least two to four years.
Opposition Division
1 Filing an Opposition
The term for filing an opposition is nine months from publication of the mention of grant of the European patent (grant date). Once the opposition term has expired an opponent cannot file new facts and evidence in support of the opposition except under special circumstances. It is therefore advantageous, if at all possible, to include all potentially relevant material in the initial opposition statement.
When the opposition term has expired, the EPO will check to see that the opposition has been filed in the approved way, with the correct fee. Assuming that has been done, the EPO will appoint an opposition division of three people. The opposition division consists of a chairman, a primary examiner and a minute writer. The members of the opposition division will all have technical qualifications in a scientific field relevant to the patent. If there are complex legal (rather than technical) issues to be decided then the opposition division may be expanded to include a fourth member who is a legal specialist.
2 Patentee Files Counterstatement
Assuming that the opposition meets the formal requirements, the patentee is invited to file a response within a four month term. Extensions of time are only available in "exceptional circumstances with duly substantiated requests". Obtaining extensions of time is thus expected to be difficult. We therefore recommend treating the four month term as the final deadline.
The patentee can submit arguments and evidence in response to the opposition and can file amended claims. It is possible for the patentee to file several sets of claims for consideration by the opposition division. Thus, a broad claim set can be filed as a "main request", and narrower claims can be filed as "auxiliary requests", for consideration in the event that the claims of the main request are found to be unallowable.
Once a response to the opposition is filed, the patentee cannot file new facts and evidence in defence of the patent except under special circumstances. After the response to the opposition has been filed, further amendments to the claims can only be filed with the permission of the opposition division.
3 Further Written Submissions
Occasionally, the EPO will issue an interim opinion asking the patentee and the opponent to file comments before inviting the parties to oral proceedings. However, this is very rare and indeed the EPO have indicated that a summons to oral proceedings will in most cases be the next step following the patentee's response. It nevertheless remains possible for either side to make a voluntary written submission at any time before oral proceedings are scheduled.
4 Summons to Oral Proceedings
The opposition division will then consider the case. Both sides almost always ask for a hearing (oral proceedings) to be held should the opposition division be inclined to decide against them. Even if neither side has requested oral proceedings, the EPO has indicated that it will nevertheless hold oral proceedings if considered expedient by the opposition division. Therefore oral proceedings are usually the conclusion of proceedings at the opposition division level. The opposition division will issue a summons that invites the parties to oral proceedings. Opposition division oral proceedings are held by video conference for the majority of cases, though in person hearings in The Hague, Munich or Berlin are still possible under certain circumstances.
The EPO has stated that (a) the date of oral proceedings will, as a rule, not be earlier than six months after dispatch of the summons, (b) the summons to oral proceedings will set out the preliminary opinion of the opposition division on the issues raised, and (c) the deadline for the parties to file any final written submissions will normally be two months before the date of the oral proceedings. Depending on views expressed by the opposition division at this stage, it may be appropriate to file further written submissions and, in the case of the patentee, one or more sets of amended claims.
As mentioned above, the opposition division consists of three members. Often the communication annexed to the summons to oral proceedings has been drawn up by the primary examiner alone. There may have been little or no input by the other two members of the opposition division. Accordingly, the opposition division as a whole may or may not have considered the issues in detail at this stage.
5 Oral Proceedings
The three members of the opposition division meet together a week or two before oral proceedings occur. They consider the issues in detail including all the written submissions. As a result of this, the views held by the opposition division at the start of the oral proceedings can be quite different from those which might have been predicted from the communication annexed to the summons to oral proceedings.
At the oral proceedings, the patentee and the opponent(s) argue their respective cases. The patentee's claim requests will be considered in order until a request is found to be allowable or no requests remain. A decision is given verbally at the end of the oral proceedings. The decision will be that the patent is revoked, that it is upheld as granted or that it is upheld in an amended form. No reasons (or very brief reasons), are given with the verbal decision.
In some cases, it is possible for the patentee to file new claim sets during the oral proceedings itself. However, this is permitted strictly at the discretion of the opposition division.
6 Written Decision
A written decision, giving reasons, will typically issue from one to six months after the oral proceedings have occurred. Very occasionally, it takes longer for the written decision to issue. If oral proceedings do not occur, the opposition division simply issues a written decision giving the reasons for the decision. The written decision is an appealable decision.
Board of Appeal
1 Filing an Appeal
Once the opposition division has issued its written decision, any party adversely affected by the decision may file an appeal. A party is adversely affected only if one of its requests was denied by the opposition division. Thus, if, for example, a patentee files a restricted set of claims as a main request and the main request is upheld by the opposition division, it will not be possible for the patentee to file an appeal.
An appeal is filed in two stages. First, within two months of the date of the written decision a notice of appeal must be filed and the appeal fee paid. Second, within four months of the date of the written decision a statement of grounds of appeal must be filed. These two month and four month deadlines are inextensible. The statement of grounds of appeal must set out the appellant's case in full. If the appellant is the patentee then this should be regarded as the last opportunity to file amended sets of claims (i.e. auxiliary requests). New auxiliary requests that could have been presented before the opposition division may not necessarily be admitted by the Board of Appeal even if filed with the statement of grounds of appeal.
2 Responding to the Appeal
The appeal procedure is similar to the opposition division procedure. The respondent to the appeal is invited to file a full response within a four month term. It is not usually possible to obtain any extension. The response must set out the respondent's case in full and, if the respondent is the patentee, then this may be the last opportunity to file amended sets of claims (i.e. auxiliary requests).
3 Further Written Submissions
The rules of procedure of the Boards of Appeal stress that a party's full case, including all facts, evidence and arguments, should be included in either the grounds of appeal, or the reply in the case of a respondent. For a patentee, this also means that any claim amendments should be filed with the grounds of appeal or reply. Any further submissions which include new facts, evidence, arguments or claim requests are in principle considered to be an amendment to a party's case and are admitted into proceedings only at the discretion of the Board of Appeal, and if reasons justifying the late submission are provided.
These rules are usually followed strictly by the Boards of Appeal. Occasionally, it may be possible for new material, or new sets of claims, to be introduced during the course of an appeal, for example if the issues are straightforward and are in answer to a matter which has been recently raised for the first time in the proceedings. In general, however, it should be assumed that the appeal will be based only on the submissions made in the grounds of appeal and any reply to the grounds.
4 Oral Proceedings
Both parties to an appeal normally ask for oral proceedings if the Board of Appeal is inclined to find against them. The Board of Appeal will issue a summons to oral proceedings in the same way as an opposition division. Board of Appeal oral proceedings can take place either by video conference or in person in Munich.
Once the summons has issued, the ability to introduce new arguments into the appeal is very restricted. In principle, the Boards will not take into account any amendment to a party's case which is filed after a summons to oral proceedings has been issued. Exceptional reasons will therefore need to be presented if a party wishes to introduce new evidence, file any new claim requests, or make any new arguments at this stage.
At the oral proceedings, the appellant and respondent argue their respective cases. Almost always a decision is given verbally at the end of the oral proceedings. The decision will be that the patent is revoked, that it is upheld as granted or that it is upheld in an amended form. Occasionally the Board of Appeal may refer the case back to the opposition division if there is an outstanding issue that has not been considered in the first instance and the Board does not consider it appropriate to consider the issue itself at the oral proceedings.
The Board of Appeal also has the power under Article 112(1) EPC to refer a legal question to the Enlarged Board of Appeal that may be necessary to ensure uniform application of the law, or where a point of law of fundamental importance has arisen. However, this occurs only in rare cases.
5 Written Decision
A written decision will issue, typically from two to nine months after the oral proceedings, though occasionally it takes longer. This decision is not appealable. It may, however, be subject to a petition for review by the Enlarged Board of Appeal under the specific limited circumstances outlined below.
Petition for Review by Enlarged Board of Appeal
Under Article 112a EPC, any party to an appeal who is adversely affected by the decision of the Board of Appeal may file a petition for review of the decision by the Enlarged Board of Appeal. However, a petition may only be filed on very specific grounds and should not therefore be regarded as a final tier of appeal. The specific grounds are that:
- the Board of Appeal had the wrong composition;
- a fundamental violation occurred of Article 113 EPC, which states that decisions may only be based on grounds or evidence on which the parties concerned have had an opportunity to present their comments and that decisions must be made on the text of a European patent submitted to the Board of Appeal by the patentee or agreed by the patentee;
- a fundamental procedural defect occurred in the appeal proceedings (for example, oral proceedings were not appointed even though requested, or no decision was taken on a relevant request); or
- a criminal act may have had an impact on the decision.
If the petition is relying on a ground other than a criminal act as the basis for the petition, the petition must be filed within two months of notification of the Board of Appeal decision. If the petition is relying on a criminal act as the ground for the petition, the petition must be filed within two months of the date on which the criminal act has been established and in any event no later than five years from notification of the Board of Appeal decision.
If a petition is successful, the appeal proceedings will be reopened before the Board of Appeal.
The procedure is available in respect of all Board of Appeal decisions that have been taken since 13 December 2007. Although a number of petitions are filed each year, it is very rare for appeal proceedings to be reopened.
Further Steps when Patent is Upheld in Amended Form
If the opposition division decides to uphold the patent in amended form and no appeal is filed, or if the Board of Appeal decides to maintain the patent in amended form, a communication issues inviting the patentee to pay a printing fee and file translations of the amended claims into French and German. Once that has been done, the patent is republished as a B2 publication. To make the patent effective in the various EPC countries, the patentee then re-validates the amended patent in the countries that have been designated in the patent and in which the original patent was validated. This means that translations of the amended patent must be filed as necessary with the national patent offices in those countries.

J A Kemp LLP acts for clients in the USA, Europe and globally, advising on UK and European patent practice and representing them before the European Patent Office, UKIPO and Unified Patent Court. We have in-depth expertise in a wide range of technologies, including Biotech and Life Sciences, Pharmaceuticals, Software and IT, Chemistry, Electronics and Engineering and many others. See our website to find out more.
The content of this article is intended to provide a general guide to the subject matter. Specialist advice should be sought about your specific circumstances.